Зачем нужно знать удельное сопротивление грунта для заземления?

Удельное сопротивление грунта измеряется перед монтажом защитного или функционального контура заземления.Зачем это делать и что дают результаты измерения удельного сопротивления грунтов.

Основное влияние на величину сопротивления заземлителей оказывает верхний слой грунта на глубине до 25 м, поэтому при расчете и устройстве заземлений необходимо знать его удельное сопротивление. Наиболее важными факторами, влияющими на величину удельного сопротивления грунта, являются влажность и температура.На рисунках ниже приведены зависимости удельного сопротивления глины в зависимости от влажности и температуры:

Заземление,готовые комплекты,купить,Киев,Одесса,Днепр,Харьков,Винница,Житомир

Испытание и расчет заземления

В течение года в связи с изменением атмосферных и климатических условий содержание влаги в грунте и его температура изменяются, а следовательно, изменяется и удельное сопротивление. Наиболее резкие колебания удельного сопротивления наблюдаются в верхних слоях земли, которые зимой промерзают, а летом высыхают. Из данных измерений следует, что при понижении температуры воздуха от 0 до -10 °С удельное сопротивление грунта на глубине 0,3 м увеличивается в 10 раз, а на глубине 0,5 м - в 3 раза. 

В реальных условиях земля имеет многослойное строение, однако для практических расчетов достаточно представлять землю в виде двухслойной структуры. Во многих случаях удельное сопротивление нижнего слоя ниже сопротивления верхнего слоя, поэтому целесообразно использование заглубленных (от 5 до 10 м) и глубинных (свыше 10 м) заземлителей, что приводит к существенной экономии средств, труда и материалов.
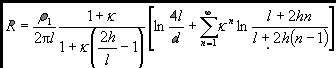
Расчетное сопротивление  вертикального заземлителя, начинающегося от поверхности земли при двухслойном ее строении, определяется по формуле:

Как расчитать контур заземления,цена контура,Киев,Одесса,Житомир,Винница,Днепр,Харьков

где к = ( r 2 - r 1 )/( r 2 + r 1 ) - коэффициент неоднородности; r 1 - удельное сопротивление верхнего слоя, ом ? м; r 2 - удельное сопротивление нижнего слоя, Ом ? м; h - глубина верхнего слоя, м; l - длина заземлителя, м; d - диаметр заземлителя, м.

Для приблизительного расчета контура заземления можно применять средние удельные сопротивления разных грунтов:

Удельное сопротивление грунтов,для расчета заземления

Мы предлагаем монтаж  контура заземления и продаем элементы системы заземления по Киеве, Днепропетровске, Одессе, Виннице, Житомире,Днепре, Харькове, Полтаве.Доставка в любой город Украины.

Звоните, по телефонам указанным в разделе Контакты , будем рады помочь Вам.  



Повернутися назад